Poisson transform
From Encyclopedia of Mathematics
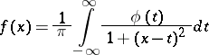
![]() | (*) |
where
is a function of bounded variation in every finite interval, and also the transform
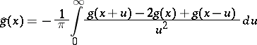
![]() |
which results from (*) if
is an absolutely-continuous function (cf. Absolute continuity). Let
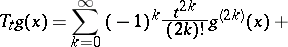
![]() |
and let
![]() |
![]() |
The following inversion formulas hold for the Poisson transform:
![]() |
![]() |
for all
, and
![]() |
almost everywhere.
Let
be a convex open acute cone in
with vertex at zero and let
be the dual cone, that is,
![]() |
The function
![]() |
is called the Cauchy kernel of the tube domain
. The Poisson transform of a (generalized) function
is the convolution (cf. Convolution of functions)
![]() |
where
![]() |
is the Poisson kernel of the tube domain
(see [2]).
References
| [1] | H. Pollard, "The Poisson transform" Trans. Amer. Math. Soc. , 78 : 2 (1955) pp. 541–550 |
| [2] | V.S. Vladimirov, "Generalized functions in mathematical physics" , MIR (1977) (Translated from Russian) |
How to Cite This Entry:
Poisson transform. Encyclopedia of Mathematics. URL: http://encyclopediaofmath.org/index.php?title=Poisson_transform&oldid=48224
Poisson transform. Encyclopedia of Mathematics. URL: http://encyclopediaofmath.org/index.php?title=Poisson_transform&oldid=48224
This article was adapted from an original article by Yu.A. BrychkovA.P. Prudnikov (originator), which appeared in Encyclopedia of Mathematics - ISBN 1402006098. See original article











