Maurer-Cartan form
A left-invariant
-form on a Lie group
, i.e. a differential form
of degree 1 on
satisfying the condition
for any left translation
,
. The Maurer–Cartan forms on
are in one-to-one correspondence with the linear forms on the tangent space
at the point
; specifically, the mapping which sends each Maurer–Cartan form
to its value
is an isomorphism of the space of Maurer–Cartan forms onto
. The differential of a Maurer–Cartan form
is a left-invariant
-form on
, defined by the formula
![]() | (1) |
where
are arbitrary left-invariant vector fields on
. Suppose that
is a basis in
and let
,
, be Maurer–Cartan forms such that
![]() |
Then
![]() | (2) |
where
are the structure constants of the Lie algebra
of
consisting of the left-invariant vector fields on
, with respect to the basis
determined by
![]() |
The equalities (2) (or (1)) are called the Maurer–Cartan equations. They were first obtained (in a different, yet equivalent form) by L. Maurer [1]. The forms
were introduced by E. Cartan in 1904 (see [2]).
Let
be the canonical coordinates in a neighbourhood of the point
determined by the basis
. Then the forms
are written in the form
![]() |
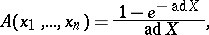
in which the matrix
![]() |
is calculated by the formula
![]() |
where
and
is the adjoint representation of the Lie algebra
.
Furthermore, let
be the
-valued
-form on
which assigns to each tangent vector to
the unique left-invariant vector field containing this vector (
is called the canonical left differential form). Then
![]() |
and
![]() |
which is yet another way of writing the Maurer–Cartan equations.
References
| [1] | L. Maurer, Sitzungsber. Bayer. Akad. Wiss. Math. Phys. Kl. (München) , 18 (1879) pp. 103–150 |
| [2] | E. Cartan, "Sur la structure des groupes infinis de transformations" Ann. Ecole Norm. , 21 (1904) pp. 153–206 |
| [3] | C. Chevalley, "Theory of Lie groups" , 1 , Princeton Univ. Press (1946) |
| [4] | N. Bourbaki, "Elements of mathematics. Lie groups and Lie algebras" , Addison-Wesley (1975) (Translated from French) |
| [5] | S. Helgason, "Differential geometry, Lie groups, and symmetric spaces" , Acad. Press (1978) |
Maurer-Cartan form. Encyclopedia of Mathematics. URL: http://encyclopediaofmath.org/index.php?title=Maurer-Cartan_form&oldid=47798








