Namespaces
Variants
Actions

Mapping method

From Encyclopedia of Mathematics
Revision as of 17:01, 7 February 2011 by 127.0.0.1 (talk) (Importing text file)
(diff) ← Older revision | Latest revision (diff) | Newer revision → (diff)
Jump to: navigation, search

method of images

A method in potential theory for solving certain boundary value problems for partial differential equations in a domain , where the fulfillment of the boundary conditions on the boundary is achieved by the choice of additional field sources situated outside and called image sources.

The greatest development of the mapping method occurred in electrostatics. Suppose, for example, that it is required to solve the Dirichlet problem for the Poisson equation in the half-plane with a given function on the boundary , that is, it is required to find the potential of electrostatic charges of density situated in , with the condition that the potential is fixed on . It is known that in order to solve this problem it suffices to know the Green function representing the potential of a unit point charge at the point when the boundary is earthed, that is, . The solution of the original problem is expressed as follows in terms of :

(1)

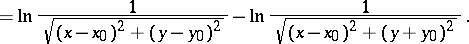
When there is no boundary, the potential of a point charge can be written as a fundamental solution of the Laplace equation. Adding a negative unit charge image at the point and forming the sum of the potentials of these two charges, one obtains the desired Green function:

(2)

In the case of a strip , on reflecting a unit charge at with respect to the lines and one gets an infinite sequence of charges at the points , , , respectively. The Green function in this case can be expressed in the form of an infinite series of potentials of point charges.

For a domain in the form of a disc, , the image of a unit charge at is a negative unit charge at , which is the image of under inversion relative to the circle .

Other configurations of boundaries are also possible, consisting of lines and circles, and the solution is obtained by constructing the corresponding sequence of charge images.

For the solution of the Dirichlet problem for the Poisson equation in the half-space

on reflecting the unit charge at with respect to the plane , instead of (2) one obtains the formula

In the case of a ball it is necessary to apply the Kelvin transformation, and the image of the unit charge at the point is a charge of magnitude at the point , which is the image of under inversion with respect to the sphere . From this one obtains that if a solution of the Poisson equation is known in some domain , then the function gives a solution of the Poisson equation with density in the domain that is the image of under inversion with respect to the sphere . In this form the mapping method is sometimes called the method of inversion. In applying the method of inversion it is necessary to pay attention to the fact that the boundary conditions are also transformed.

For more complicated domains in space, whose boundaries consist of some planes or spheres, it is also possible to apply infinite sequences of charge images. In conjunction with passage to limits, where one or more sources go to infinity, the mapping method makes it possible to solve complicated problems, such as the determination of the potential of an electrostatic field in the case of a conducting ball placed in a field that is homogeneous at infinity.

In the case of the Helmholtz equation , the mapping method is applicable only for domains bounded by lines or for domains in space bounded by planes and uses the corresponding fundamental solutions , or , .

References

[1] G.A. Grinberg, "A collection of problems in the mathematical theory of electrical and magnetic phenomena" , Moscow-Leningrad (1948) (In Russian)
[2] J.D. Jackson, "Classical electrodynamics" , Wiley (1962)
[3] N.E. Kochin, I.A. Kibel', N.V. Roze, "Theoretical hydrodynamics" , Interscience (1964) (Translated from Russian)
[4] W.R. Smythe, "Static and dynamic electricity" , McGraw-Hill (1950)
How to Cite This Entry:
Mapping method. Encyclopedia of Mathematics. URL: http://encyclopediaofmath.org/index.php?title=Mapping_method&oldid=47759
This article was adapted from an original article by E.D. Solomentsev (originator), which appeared in Encyclopedia of Mathematics - ISBN 1402006098. See original article