Euler transformation
The Euler transformation of series. Given a series
![]() | (1) |
the series
![]() | (2) |
is said to be obtained from (1) by means of the Euler transformation. Here
![]() |
If the series (1) converges, then so does (2), and to the same sum as (1). If the series (2) converges (in this case (1) may diverge), then the series (1) is called Euler summable.
If (1) converges, if
, if the sequences
![]() |
are monotone, and if
![]() |
then the series (2) converges more rapidly than (1) (see Convergence, types of).
L.D. Kudryavtsev
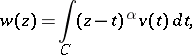
Euler's transformation is the integral transformation
![]() | (1) |
where
is a contour in the complex
-plane. It was proposed by L. Euler (1769).
The Euler transformation is applied to linear ordinary differential equations of the form
![]() | (2) |
where
is a polynomial of degree
and
is a constant. Any linear equation of the form
![]() |
where the
are polynomials of degree
and the degree of
is
, can be written in the form (2). The equation
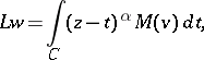
![]() |
is called the Euler transform of (2). If
is defined by (1) and
, then
![]() |
provided that the integrated term arising from integration by parts vanishes. From this it follows that if
, then
is a solution of (2).
The Euler transformation makes it possible to reduce the order of (2) if
for
,
. For
and
equation (2) can be integrated (see Pochhammer equation).
References
| [1] | E.L. Ince, "Ordinary differential equations" , Dover, reprint (1956) |
| [2] | E. Kamke, "Differentialgleichungen: Lösungen und Lösungsmethoden" , 1. Gewöhnliche Differentialgleichungen , Teubner (1943) |
M.V. Fedoryuk
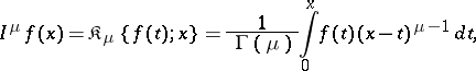
The Euler transform of the first kind is the integral transform
![]() |
where
and
are complex variables and the path of integration is the segment
,
.
The Euler transform of the first kind is also called the fractional Riemann–Liouville integral of order
. (Sometimes the name of Riemann–Liouville integral is given to
![]() |
where
is a complex number.)
If
and
satisfy certain conditions, then
![]() |
![]() |
where
and
are complex constants and
![]() |
![]() |
![]() |
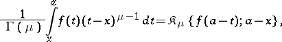
The Euler transform of the second kind is the integral transform
![]() |
where
and
are complex variables and the path of integration is the ray
,
, or
,
. Under certain conditions,
![]() |
![]() |
where
and
are complex constants and
![]() |
![]() |
![]() |
The Euler transform of the second kind is sometimes called the fractional Weyl integral of order
.
The above transforms have also been introduced for generalized functions.
References
| [1] | Y.A. Brychkov, A.P. Prudnikov, "Integral transformations of generalized functions" , Gordon & Breach (1988) (Translated from Russian) |
Yu.A. BrychkovA.P. Prudnikov
Comments
See also Fractional integration and differentiation.
References
| [a1] | A. Erdélyi, W. Magnus, F. Oberhetinger, F.G. Tricomi, "Tables of integral transforms" , II , McGraw-Hill (1954) pp. Chapt. 13 |
| [a2] | A.C. McBride, "Fractional calculus and integral transforms of generalized functions" , Pitman (1979) |
Euler transformation. Encyclopedia of Mathematics. URL: http://encyclopediaofmath.org/index.php?title=Euler_transformation&oldid=46861






















