Covering theorems
Theorems for various classes of regular functions that establish certain properties of sets that are entirely contained in the range of values of each function of the corresponding class. Below some basic covering theorems are presented (see also [1]).
Theorem 1) If a function
is regular and univalent in the disc
(i.e.
), then the disc
is entirely covered by the image of the disc
under the mapping of this function. On the circle
there are points not belonging to the image only if
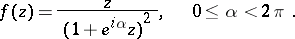
has the form:
![]() |
Theorem 2) If a meromorphic function
maps
univalently, then the entire boundary of the image lies in the disc
.
Theorem 3) If
, then at least one of the
points nearest to
on the boundary of the image of the disc
under the mapping
lying on any
rays arising from
at equal angles will have distance from
not less than
.
Theorem 4) If
, the image of the disc
under the mapping
contains a set consisting of
open rectilinear segments with the sum of the lengths not less than
, which emanate from the origin under equal angles of value
.
For functions
that in the disc
satisfy the inequality
,
, there are covering theorems analogous to theorems 1 and 3 (with corresponding constants). The covering theorems 1 and 3 can also be transferred to the class of functions
that are regular and univalent in an annulus
, that map it into regions lying in
, and that map the circle
into the circle
.
For the class
of functions
regular in the disc
, there is no disc
,
, that is entirely covered by the values of each of the functions in this class. For the functions
![]() |
that are regular in
, each image of this disc entirely covers a certain segment of arbitrary given slope, containing the point
inside it and of length not less than
, where the number
cannot be increased without imposing additional restrictions. In this class of functions, if
in the annulus
, each image of the disc
entirely covers the disc
, but does not always cover a greater disc with its centre at
.
In the class
of functions
, regular in
, such that each value
is taken at at most
points in the disc
one has an analogue of theorem 1 with corresponding disc
. If moreover
or
, the corresponding discs will be
or
. Analogous results apply for functions that are
-valent in the mean over a circle, over a region, etc. Covering theorem 3 can also be transferred to the class
.
See also Bloch's theorem in Bloch constant.
References
| [1] | G.M. Goluzin, "Geometric theory of functions of a complex variable" , Transl. Math. Monogr. , 26 , Amer. Math. Soc. (1969) (Translated from Russian) |
Comments
Theorem 1 is also called Koebe's
-theorem. Covering theorems are related to exceptional values (i.e. values not taken by a function, cf. Exceptional value). Besides Bloch's theorem one should mention Landau's theorems, and the related constants; cf. Landau theorems.
Covering theorems. Encyclopedia of Mathematics. URL: http://encyclopediaofmath.org/index.php?title=Covering_theorems&oldid=46549

