Conductor of a character
An integer associated to the character of a representation of the Galois group of a finite extension of a local field. Let
be a field that is complete with respect to a discrete valuation, with residue class field
of characteristic
. Let
be a Galois extension of degree
with Galois group
and suppose that the residue class field extension is separable. If
is the character of some finite-dimensional complex representation of
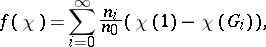
, its conductor
is defined by the formula:
![]() |
where
![]() |
![]() |
where
is the corresponding valuation of
. If
does not divide
, then
for
and
. If
is the character of a rational representation
, then
. The conductor
is a non-negative integer.
References
| [1] | J.W.S. Cassels (ed.) A. Fröhlich (ed.) , Algebraic number theory , Acad. Press (1967) pp. Chapt. VI |
| [2] | E. Artin, J. Tate, "Class field theory" , Benjamin (1967) |
| [3] | J.-P. Serre, "Local fields" , Springer (1979) (Translated from French) |
Comments
The ideal
, where
is the conductor of a character
of the Galois group of an extension of local fields, is also called the Artin conductor of
. There is a corresponding notion for extensions of global fields obtained by taking a suitable product over all finite primes, cf. [a1], p. 126. It plays an important role in the theory of Artin
-functions, cf.
-function.
References
| [a1] | J. Neukirch, "Class field theory" , Springer (1986) |
Conductor of a character. Encyclopedia of Mathematics. URL: http://encyclopediaofmath.org/index.php?title=Conductor_of_a_character&oldid=46446


