Namespaces
Variants
Actions

Carleman theorem

From Encyclopedia of Mathematics
Revision as of 17:16, 7 February 2011 by 127.0.0.1 (talk) (Importing text file)
(diff) ← Older revision | Latest revision (diff) | Newer revision → (diff)
Jump to: navigation, search

Carleman's theorem on quasi-analytic classes of functions is a necessary and sufficient condition for quasi-analyticity in the sense of Hadamard, discovered by T. Carleman

(see also ). A class of real-valued infinitely differentiable functions on an interval is said to be quasi-analytic in the sense of Hadamard if the equalities , at some fixed point , , imply that . The statement of the theorem: The class is quasi-analytic if and only if

(1)

where

is a constant, and the sequence satisfies one of the equivalent conditions:

(2)

where

This is one of the first definitive results in the theory of quasi-analytic classes of functions. Quasi-analytic classes defined by (1), (2) are often called Carleman classes.

Carleman's theorem on conditions of well-definedness of moment problems: If the sequence of positive numbers , satisfies the condition

then the moment problem

(3)

is well-defined. This means that there exists a non-decreasing function , , satisfying the equations (3), which is unique up to addition by any function which is constant in a neighbourhood of each point of continuity of it. This theorem was established by T. Carleman (see , ).

Carleman's theorem on uniform approximation by entire functions: If is any continuous function on the real line and , , is a positive continuous function decreasing arbitrarily rapidly as , then there exists an entire function of the complex variable such that

This theorem, established by T. Carleman , was the starting point in the investigations into approximation by entire functions. In particular, a continuum in the -plane is said to be a Carleman continuum if for any continuous complex function on and an arbitrary rapidly decreasing positive function (as ) with a positive infimum on any finite interval, there exists an entire function such that

Necessary and sufficient conditions for a closed set to be a Carleman continuum were obtained in a theorem by M.V. Keldysh and M.A. Lavrent'ev (see ). An example of a Carleman continuum is a closed set consisting of rays of the form

Carleman's theorem on the approximation of analytic functions by polynomials in the mean over the area of a domain: Let be a finite domain in the complex -plane, , bounded by a Jordan curve , and let be a regular analytic function in such that

Then there exists for any a polynomial such that

This result was established by T. Carleman [4]. Similar results also hold for approximation with an arbitrary positive continuous weight, in which case the boundary can be of a more general nature. The system of monomials , is complete with respect to any such weight. Orthogonalization and normalization of this system gives polynomials of degree , which are often called Carleman polynomials.

References

[1] T. Carleman, "Les fonctions quasi-analytiques" , Gauthier-Villars (1926)
[2] T. Carleman, "Sur les équations intégrales singulières à noyau réel et symmétrique" Univ. Årsskrift : 3 , Uppsala (1923)
[3] T. Carleman, "Sur un théorème de Weierstrass" Arkiv. Mat. Astron. Fys. , 20 : 4 (1927) pp. 1–5
[4] T. Carleman, "Über die Approximation analytischer Funktionen durch lineare Aggregate von vorgegebenen Potenzen" Arkiv. Mat. Astron. Fys. , 17 : 9 (1922)
[5] S. Mandelbrojt, "Séries adhérentes, régularisations des suites, applications" , Gauthier-Villars (1952)
[6] S.N. Mergelyan, "Uniform approximation to functions of a complex variable" Translations Amer. Math. Soc. , 3 (1962) pp. 294–391 Uspekhi Mat. Nauk , 7 : 2 (1952) pp. 31–122


Comments

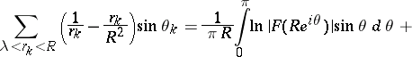
The following result is also known as Carleman's theorem. If is a holomorphic function in the region

and , , are the zeros of (counted with multiplicity) in , then

where

See [a2]. Further, [a1] is a good reference for the approximation theorems in the present article.

References

[a1] D. Gaier, "Vorlesungen über Approximation im Komplexen" , Birkhäuser (1980)
[a2] B.Ya. Levin, "Distribution of zeros of entire functions" , Amer. Math. Soc. (1980) (Translated from Russian)
How to Cite This Entry:
Carleman theorem. Encyclopedia of Mathematics. URL: http://encyclopediaofmath.org/index.php?title=Carleman_theorem&oldid=46218
This article was adapted from an original article by E.D. Solomentsev (originator), which appeared in Encyclopedia of Mathematics - ISBN 1402006098. See original article