Namespaces
Variants
Actions

Boundary value problems of analytic function theory

From Encyclopedia of Mathematics
Revision as of 17:06, 7 February 2011 by 127.0.0.1 (talk) (Importing text file)
(diff) ← Older revision | Latest revision (diff) | Newer revision → (diff)
Jump to: navigation, search

Problems of finding an analytic function in a certain domain from a given relation between the boundary values of its real and its imaginary part. This problem was first posed by B. Riemann in 1857 [1]. D. Hilbert [2] studied the boundary value problem formulated as follows (the Riemann–Hilbert problem): To find the function that is analytic in a simply-connected domain bounded by a contour and that is continuous in , from the boundary condition

(1)

where and are given real continuous functions on . Hilbert initially reduced this problem to a singular integral equation in order to give an example of the application of such an equation.

The problem (1) may be reduced to a successive solution of two Dirichlet problems. A complete study of the problem by this method may be found in [3].

The problem arrived at by H. Poincaré [4] in developing the mathematical theory of tide resembles problem (1). Poincaré's problem consists in determining a harmonic function in a domain from the following condition on the boundary of this domain:

(2)

where and are real functions given on , is the arc abscissa and is the normal to .

The generalized Riemann–Hilbert–Poincaré problem is the following linear boundary value problem: To find an analytic function in from the boundary condition

(3)

where is an integro-differential operator defined by the formula

(4)

where are (usually complex-valued) functions of class defined on (i.e. satisfying a Hölder condition), is a given real-valued function of class and are (usually complex-valued) functions on of the form

where are functions of class in both variables. The expression on the right-hand side of (4) is understood to mean the boundary value on from inside the domain of the -th order derivative of .

A special case of the Riemann–Hilbert–Poincaré problem, in the case when , , is the Riemann–Hilbert problem; Poincaré's problem is also a special formulation of the same problem. Many important boundary value problems — such as boundary value problems for partial differential equations of elliptic type with two independent variables — may be reduced to the Riemann–Hilbert–Poincaré problem.

The Riemann–Hilbert–Poincaré problem was also posed for , , and was solved by I.N. Vekua [3].

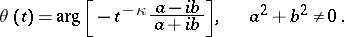
An important role in the theory of boundary value problems is played by the concept of the index of the problem — an integer defined by the formula

where is the increment of under one complete traversal of the contour in the direction leaving the domain at the left.

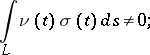
The Riemann–Hilbert–Poincaré problem is reduced to a singular integral equation of the form

(5)

where is the unknown real-valued function of class , is an unknown real constant, and

The functions and are expressed in terms of and , .

Let and be the numbers of linearly independent solutions of the homogeneous integral equation corresponding to (5) and of the homogeneous integral equation

(6)

associated with it. The numbers and are connected with the index of the Riemann–Hilbert–Poincaré problem by the equality

Of special interest is the case when the problem is solvable whatever the right-hand side . In order for the Riemann–Hilbert–Poincaré problem to be solvable whatever the right-hand side , a necessary and sufficient condition is or , and in the latter case the solution of equation (6) must satisfy the condition

in both cases and the homogeneous problem has exactly linearly independent solutions. If , then the Riemann–Hilbert–Poincaré problem is solvable for any right-hand side if and only if .

As regards the Riemann–Hilbert problem, the following statements are valid: 1) If , then the inhomogeneous problem (1) is solvable whatever its right-hand side; and 2) if , then the problem has a solution if and only if

where

The Riemann–Hilbert problem is closely connected with the so-called problem of linear conjugation. Let be a smooth or a piecewise-smooth curve consisting of closed contours enclosing some domain of the complex plane , which remains on the left during traversal of , and let the complement of in the -plane be denoted by . Let a function be given, and let it be continuous in a neighbourhood of the curve , everywhere except perhaps on itself. One says that the function is continuously extendable to a point from the left (or from the right) if tends to a definite limit (or ) as tends to along an arbitrary path, while remaining to the left (or to the right) of .

The function is said to be piecewise analytic with jump curve if it is analytic in and and is continuously extendable to any point both from the left and from the right.

The linear conjugation problem consists of determining a piecewise-analytic function with jump curve , having finite order at infinity, from the boundary condition

where and are functions of class given on . On the assumption that everywhere on , the integer

is called the index of the linear conjugation problem.

If is a piecewise-analytic vector, is a square -matrix and is a vector, and if also , then the integer

is called the total index of the linear conjugation problem. The concepts of the index and the total index play an important role in the theory of the linear conjugation problem [5], [6], [7].

The theory of one-dimensional singular integral equations of the form (5) was constructed on the basis of the theory of the linear conjugation problem.

References

[1] B. Riemann, , Gesammelte math. Werke - Nachträge , Teubner (1892–1902) (Translated from German)
[2] D. Hilbert, "Grundzüge einer allgemeinen Theorie der linearen Integralgleichungen" , Chelsea, reprint (1953)
[3] I.N. Vekua, Trudy Tbil. Mat. Inst. Akad. Nauk GruzSSR , 11 (1942) pp. 109–139
[4] H. Poincaré, "Leçons de mécanique celeste" , 3 , Paris (1910)
[5] N.I. Muskhelishvili, "Singular integral equations" , Wolters-Noordhoff (1972) (Translated from Russian)
[6] F.D. Gakhov, "Boundary value problems" , Pergamon (1966) (Translated from Russian)
[7] B.V. Khvedelidze, Trudy Tbil. Mat. Inst. Akad. Nauk GruzSSR , 23 (1956) pp. 3–158


Comments

The problem discussed in the article is also known as the barrier problem. For applications in mathematical physics, see [a6], [a7], [a9], and the references given there. An important contribution to the theory (matrix case) was given in [a5]. Other relevant publications are [a1], [a2], [a3], [a4] and [a8]. The method proposed in [a1] employs the state space approach from systems theory.

Note that the various names given to various variants of these problems are by no means fixed. Thus, what is called the linear conjugation problem above is also often known as the Riemann–Hilbert problem [a9]. This version, especially the matrix case where , , are all (invertible) matrix-valued functions, is of great importance in the theory of completely-integrable systems. Indeed, consider an overdetermined system of linear partial differential equations (cf. [a6] for more detail)

(a1)

where are to be thought of as rational functions in a complex parameter with coefficients depending on but with the pole structure independent of ; e.g.

with the constants and the functions of only. An invertible matrix solution of (a1) exists if and only if the corresponding satisfy

(a2)

a so-called Zakharov–Shabat system. Many integrable systems can be put in this form. Now let solve (a1) and take a function on a contour in the -plane. Solve the -family of matrix Riemann–Hilbert problems . Then also solves (a1) and this leads to an action of the group of invertible matrix-valued functions in on the space of solutions of (a2). This method of obtaining a new solution , from an old one and a function is known as the Zakharov–Shabat dressing method. is also sometimes known as a Riemann–Hilbert transformation. In the case of Einstein's field equations (axisymmetric solutions) a similar technique goes by the names of Hauser–Ernst or Kinnersley–Chitre transformations, and in that case (a subgroup of) the group involved is known as the Geroch group [a10]. The Riemann monodromy problem asks for multi-valued functions regular everywhere but in , , such that analytic continuation around a contour containing exactly one of these points changes into , . This problem reduces to the Riemann–Hilbert problem by taking a contour through and a suitable step function on it. The Riemann monodromy problem was essentially solved by J. Plemelj [a11], G.D. Birkhoff , and I.A. Lappo-Danilevsky [a13].

References

[a1] H. Bart, I. Gohberg, M.A. Kaashoek, "Fredholm theory of Wiener–Hopf equations in terms of realization of their symbols" Integral Equations and Operator Theory , 8 (1985) pp. 590–613
[a2] "Mathématique et physique" L. Boutet de Monvel (ed.) et al. (ed.) , Sem. ENS 1979–1982 , Birkhäuser (1983)
[a3] K. Clancey, I. Gohberg, "Factorization of matrix functions and singular integral operators" , Operator Theory: Advances and Applications , 3 , Birkhäuser (1981)
[a4] I.C. [I.Ts. Gokhberg] Gohberg, I.A. Feld'man, "Convolution equations and projection methods for their solution" , Transl. Math. Monogr. , 41 , Amer. Math. Soc. (1974) (Translated from Russian)
[a5] I.C. Gohberg, M.G. Krein, "Systems of integral equations on a half line with kernels depending on the difference of arguments" Amer. Math. Soc. Transl. (2) (1960) pp. 217–287 Uspekhi Mat. Nauk , 13 : 2 (80) (1958) pp. 3–72
[a6] V.E. Zakharov, S.V. Manakov, "Soliton theory" J.M. Khalatnikov (ed.) , Physics reviews , 1 , Harwood Acad. Publ. (1979) pp. 133–190
[a7] E. Meister, "Randwertaufgaben der Funktionentheorie" , Teubner (1983)
[a8] Yu.L. Rodin, "The Riemann boundary value problem on Riemannian manifolds" , Reidel (1988) (Translated from Russian)
[a9] D.V. Chudnovsky (ed.) G. Chudnovsky (ed.) , The Riemann problem, complete integrability and arithmetic applications , Lect. notes in math. , 925 , Springer (1982)
[a10] C. Hoenselaers, W. Dietz, "Solutions of Einstein's equations: techniques and results" , Lect. notes in physics , 265 , Springer (1984)
[a11] J. Plemelj, "Problems in the sense of Riemann and Klein" , Interscience (1964)
[a12a] G.D. Birkhoff, "Singular points of ordinary linear differential equations" Trans. Amer. Math. Soc. , 10 (1909) pp. 436–470
[a12b] G.D. Birkhoff, "A simplified treatment of the regular singular point" Trans. Amer. Math. Soc. , 11 (1910) pp. 199–202
[a13] I.A. Lappo-Danilevsky, "Mémoire sur la théorie des systèmes des équations différentielles linéaires" , Chelsea, reprint (1953)
How to Cite This Entry:
Boundary value problems of analytic function theory. Encyclopedia of Mathematics. URL: http://encyclopediaofmath.org/index.php?title=Boundary_value_problems_of_analytic_function_theory&oldid=46137
This article was adapted from an original article by A.V. Bitsadze (originator), which appeared in Encyclopedia of Mathematics - ISBN 1402006098. See original article