to an ordinary linear differential equation
The ordinary linear differential equation
, where
 | (1) |
is the space of
-times continuously-differentiable complex-valued functions on
, and
 | (2) |
(the bar denotes complex conjugation). It follows at once that
for any scalar
. The adjoint of the equation
is
. For all
-times continuously-differentiable functions
and
, Lagrange's identity holds:
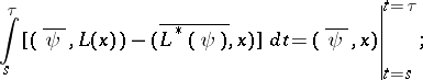
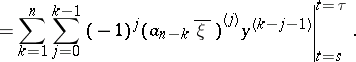
It implies Green's formula
If
and
are arbitrary solutions of
and
, respectively, then
A knowledge of
linearly independent solutions of the equation
enables one to reduce the order of the equation
by
(see [1]–[3]).
For a system of differential equations
where
is a continuous complex-valued
-matrix, the adjoint system is given by
(see [1], [4]), where
is the Hermitian adjoint of
. The Lagrange identity and the Green formula take the form
where
is the standard scalar product (the sum of the products of coordinates with equal indices). If
and
are arbitrary solutions of the equations
and
, then
The concept of an adjoint differential equation is closely connected with the general concept of an adjoint operator. Thus, if
is a linear differential operator acting on
into
in accordance with (1), then its adjoint differential operator
maps the space
adjoint to
into the space
adjoint to
. The restriction of
to
is given by formula (2) (see [5]).
Adjoints are also defined for linear partial differential equations (see [6], [5]).
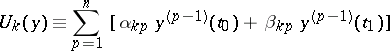
Let
, and let
be linearly independent linear functionals on
. Then the boundary value problem adjoint to the linear boundary value problem
 | (3) |
is defined by the equations
 | (4) |
Here the
are linear functionals on
describing the adjoint boundary conditions, that is, they are defined in such a way that the equation (see Green formulas)
holds for any pair of functions
that satisfy the conditions
,
;
,
.
If
are linear forms in the variables
then
are linear forms in the variables
Examples. For the problem
with real
, the adjoint boundary value problem has the form
If problem (3) has
linearly independent solutions (in this case the rank
of the boundary value problem is equal to
), then problem (4) has
linearly independent solutions (its rank is
). When
, problems (3) and (4) have an equal number of linearly independent solutions. Therefore, when
, problem (3) has only a trivial solution if and only if the adjoint boundary value problem (4) has the same property. The Fredholm alternative holds: The semi-homogeneous boundary value problem
has a solution if
is orthogonal to all non-trivial solutions
of the adjoint boundary value problem (4), i.e. if
(see [1]–[3], [7]).
For the eigen value problem
 | (5) |
the adjoint eigen value problem is defined as
 | (6) |
If
is an eigen value of (5), then
is an eigen value of (6). The eigen functions
corresponding to eigen values
of (5), (6), respectively, are orthogonal if
(see [1]–[3]):
For the linear boundary value problem
 | (7) |
where
is an
-dimensional vector functional on the space
of continuously-differentiable complex-valued
-dimensional vector functions with
, the adjoint boundary value problem is defined by
 | (8) |
(see [1]). Here
is a
-dimensional vector functional defined such that the equation
holds for any pair of functions
satisfying the conditions
The problems (7), (8) possess properties analogous to those listed above (see [1]).
The concept of an adjoint boundary value problem is closely connected with that of an adjoint operator [5]. Adjoint boundary value problems are also defined for linear boundary value problems for partial differential equations (see [6], [7]).
References
| [1] | E. Kamke, "Differentialgleichungen: Lösungen und Lösungsmethoden" , 1. Gewöhnliche Differentialgleichungen , Chelsea, reprint (1971) |
| [2] | M.A. Naimark, "Linear differential operators" , 1–2 , F. Ungar (1967–1968) (Translated from Russian) |
| [3] | E.A. Coddington, N. Levinson, "Theory of ordinary differential equations" , McGraw-Hill (1955) pp. Chapts. 13–17 |
| [4] | P. Hartman, "Ordinary differential equations" , Birkhäuser (1982) |
| [5] | N. Dunford, J.T. Schwartz, "Linear operators. Spectral theory" , 2 , Interscience (1963) |
| [6] | V.P. Mikhailov, "Partial differential equations" , MIR (1978) (Translated from Russian) |
| [7] | V.S. Vladimirov, "Gleichungen der mathematischen Physik" , MIR (1984) (Translated from Russian) |