Division
The operation inverse to multiplication: To find an
such that
or
for given
and
. The result
of the division is known as the quotient or the ratio between
and
;
is the divided, while
is the divisor. The operation of division is denoted by a colon
, a horizontal stroke
or an oblique stroke
.
In the field of rational numbers, division (except for division by zero) is always possible, and the result of a division is unique. In the ring of integers division is not always possible. Thus, 10 is divisible by 5, but is not divisible by 3. If the division of an integer
by an integer
in the field of rational numbers yields a quotient which is also an integer, one says that
is totally divisible (divisible without remainder) by
; this is noted as
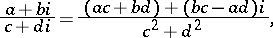
. Division of complex numbers is defined by the formula
![]() |
while division of the complex numbers in their trigonometric form is given by the formula
![]() |
Division with remainder is actually a separate operation, which is different from division as defined above. If
and
are integers, then division with remainder of
by
consists of finding integers
and
such that
![]() |
Here
is the divided,
is the divisor,
is the quotient, and
is the remainder. This operation is always possible and is unique. If
, one says that
divides
without remainder. The quotient will then be the same as in ordinary division.
Division with remainder of polynomials with coefficients in a given field is defined in a similar manner. It consists in finding, for two given polynomials
and
, polynomials
and
satisfying the conditions
![]() |
where the degree of
is less than that of
. This operation is also always possible and is unique. If
, one says that
is divisible by
without remainder.
Comments
Division (with remainder) is related to the Euclidean algorithm.
Division of a complex number
by a complex number
amounts to multiplying
by
and dividing by
, i.e.
![]() |
Here,
is the complex conjugate of
and
is the norm of
(cf. Complex number).
Division. Encyclopedia of Mathematics. URL: http://encyclopediaofmath.org/index.php?title=Division&oldid=43621




