Chebyshev equation
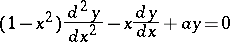
The linear homogeneous second-order ordinary differential equation
![]() |
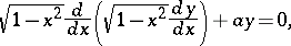
or, in self-adjoint form,
![]() |
where
is a constant. Chebyshev's equation is a special case of the hypergeometric equation.
The points
and
are regular singular points (cf. Regular singular point) of the Chebyshev equation. Substituting the independent variable
![]() |
![]() |
reduces this equation to a corresponding linear equation with constant coefficients:
![]() |
so that Chebyshev's equation can be integrated in closed form. A fundamental systems of solutions to Chebyshev's equation on the interval
with
, where
is a natural number, consists of the Chebyshev polynomials (of the first kind) of degree
,
![]() |
and the functions
, which are related to Chebyshev polynomials of the second kind. The polynomial
is a real solution to Chebyshev's equation on the entire real line, with
. Chebyshev's equation is also studied in complex domains.
Chebyshev equation. Encyclopedia of Mathematics. URL: http://encyclopediaofmath.org/index.php?title=Chebyshev_equation&oldid=43461





