Duhamel integral
A representation of the solution of the Cauchy problem (or of a mixed problem) for an inhomogeneous linear partial differential equation with homogeneous boundary conditions by means of the solution of the corresponding problem for the homogeneous equation. Consider the equation
![]() | (1) |
where
is a linear differential operator with coefficients independent of
, containing derivatives in
of order not exceeding 1. The Cauchy problem for (1) is posed with the initial conditions:
![]() | (2) |
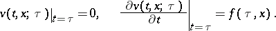
Let the sufficiently smooth function
,
,
,
, for
, be a solution of the homogeneous equation
![]() |
and let it satisfy, for
, the initial conditions
![]() |
Then the solution of the Cauchy problem (1), (2) is given by the Duhamel integral
![]() |
This theorem, known as Duhamel's principle, is an analogue of the method of variation of constants.
A similar construction can be used for the Cauchy problem with a homogeneous initial condition for the equation
![]() |
where
is a linear differential operator with coefficients independent of
, containing derivatives with respect to the variable
only.
The solution of the Cauchy problem with homogeneous initial conditions for the inhomogeneous heat equation is expressed by the Duhamel integral
![]() |
For the wave equation if
one has:
![]() |
The integral is named after J. Duhamel.
References
| [1] | A.N. [A.N. Tikhonov] Tichonoff, A.A. Samarskii, "Differentialgleichungen der mathematischen Physik" , Deutsch. Verlag Wissenschaft. (1959) (Translated from Russian) |
| [2] | F. John, "Planar waves and spherical means as applied to partial differential equations" , Interscience (1955) |
Comments
References
| [a1] | H.S. Carslaw, J.C. Jaeger, "Conduction of heat in solids" , Clarendon Press (1959) |
Duhamel integral. Encyclopedia of Mathematics. URL: http://encyclopediaofmath.org/index.php?title=Duhamel_integral&oldid=40213







