Curvilinear integral
line integral
An integral along a curve. In $ n $-dimensional Euclidean space $ \mathbb{R}^{n} $ consider a given rectifiable curve $ \gamma = \{ x = x(s) \mid 0 \leq s \leq S \} $, $ x = (x_{1},\ldots,x_{n}) $, where $ s $ is the arc-length; let $ F = F(x(s)) $ be a function defined on $ \gamma $. The curvilinear integral $$ \int_{\gamma} F(x) ~ \mathrm{d}{s} $$ is defined by the equality $$ \int_{\gamma} F(x) ~ \mathrm{d}{s} \stackrel{\text{df}}{=} \int_{0}^{s} F(x(s)) ~ \mathrm{d}{s} $$ (the integral on the right is an integral over a real interval), and is called a line integral of the first kind, or a line integral with respect to arc-length. It is the limit of suitable integral sums, which can be described in terms related to the curve. For example, if $ F(x(s)) $ is Riemann-integrable (see Riemann integral), $ \tau = (s_{i})_{i = 0}^{m} $ is a partition of $ [0,S] $, $ \delta_{\tau} = \max_{1 \leq i \leq m} (s_{i} - s_{i - 1}) $ is its mesh, $ \xi_{i} \in [s_{i - 1},s_{i}] $ is a sample point, $ \Delta s_{i} = s_{i} - s_{i - 1} $ is the length of the section of $ \gamma $ from the point $ x(s_{i - 1}) $ to the point $ x(s_{i}) $, where $ i \in \{ 1,\ldots,m \} $, and $$ \sigma_{\tau} \stackrel{\text{df}}{=} \sum_{i = 1}^{m} F(x(\xi_{i})) \Delta s_{i}, $$ then $$ \int_{\gamma} F(x) ~ \mathrm{d}{s} \stackrel{\text{df}}{=} \lim_{\delta_{\tau} \to 0} \sigma_{\tau}. $$
If the rectifiable curve $ \gamma $ is given parametrically by $ x = x(t) = ({\phi_{1}}(t),\ldots,{\phi_{n}}(t)) $, where $ a \leq t \leq b $, and $ F = F(x(t)) $ is a function defined on $ \gamma $, then the integral $$ \int_{\gamma} F(x) ~ \mathrm{d}{x_{k}}, \qquad k \in \{ 1,\ldots,n \} $$ is defined by $$ \int_{\gamma} F(x) ~ \mathrm{d}{x_{k}} \stackrel{\text{df}}{=} \int_{a}^{b} F(x(t)) ~ \mathrm{d}{{\phi_{k}}(t)} $$ (the integral on the right is a Stieltjes integral), and is called a line integral of the second kind or a line integral with respect to the coordinate $ x_{k} $. It is also the limit of suitably constructed Riemann sums: If $ \tau = (t_{i})_{i = 0}^{m} $ is a partition of $ [a,b] $, $ \eta_{i} \in [t_{i - 1},t_{i}] $ is a sample point, $ \Delta x_{k i} = {\phi_{k}}(t_{i}) - {\phi_{k}}(t_{i - 1}) $, where $ i \in \{ 1,\ldots,m \} $, and $$ \widetilde{\sigma}_{\tau} \stackrel{\text{df}}{=} \sum_{i = 1}^{m} F(x(\eta_{i})) \Delta x_{k i}, $$ then $$ \int_{\gamma} F(x) ~ \mathrm{d}{x_{k}} \stackrel{\text{df}}{=} \lim_{\delta_{\tau} \to 0} \widetilde{\sigma}_{\tau}. $$ If $ F $ is a continuous function on $ \gamma $, then the curvilinear integrals (1) and (2) always exist. If $ A $ is the initial point and $ B $ the end point of $ \gamma $, then the curvilinear integrals (1) and (2) are denoted by $$ \int_{\widehat{AB}} F(x) ~ \mathrm{d}{s} \qquad \text{and} \qquad \int_{\widehat{AB}} F(x) ~ \mathrm{d}{x_{k}} $$ respectively.
Line integrals of the first kind are independent of the orientation of the curve: $$ \int_{\widehat{BA}} F(x) ~ \mathrm{d}{s} = \int_{\widehat{AB}} F(x) ~ \mathrm{d}{s} $$ but line integrals of the second kind change sign when the orientation is reversed: $$ \int_{\widehat{BA}} F(x) ~ \mathrm{d}{x_{k}} = - \int_{\widehat{AB}} F(x) ~ \mathrm{d}{x_{k}}. $$
If $ \gamma $ is a continuously differentiable curve given by a continuously differentiable representation $ x(t) = ({\phi_{1}}(t),\ldots,{\phi_{n}}(t)) $, where $ a \leq t \leq b $, and $ F $ is a continuous function on $ \gamma $, then \begin{align} \int_{\gamma} F(x) ~ \mathrm{d}{s} & = \int_{a}^{b} F(x(t)) \underbrace{\sqrt{\sum_{k = 1}^{n} [{\phi_{k}'}(t)]^{2}}}_{> 0} ~ \mathrm{d}{t}, \\ \int_{\gamma} F(x) ~ \mathrm{d}{x_{k}} & = \int_{a}^{b} F(x(t)) {\phi_{k}'}(t) ~ \mathrm{d}{t}, \qquad k \in \{ 1,\ldots,n \}, \end{align} and hence the integrals on the right of these equalities are independent of the choice of the parameter on $ \gamma $. If $ \tau = (\cos(\alpha_{1}),\ldots,\cos(\alpha_{n})) $ is a unit tangent vector to the curve $ \gamma $, then the line integral of the second kind may be expressed in terms of a line integral of the first kind via the formula $$ \int_{\gamma} F(x) ~ \mathrm{d}{x_{k}} = \int_{\gamma} F(x) \cos(\alpha_{k}) ~ \mathrm{d}{s} $$ If $ \gamma $ is given in vector notation $ \mathbf{r}(t) = ({\phi_{1}}(t),\ldots,{\phi_{n}}(t)) $ and $ \mathbf{a}(x(t)) = ({a_{1}}(x(t)),\ldots,{a_{n}}(x(t))) $ is a vector function defined on $ \gamma $, then, by definition, $$ \int_{\gamma} \mathbf{a}(x) ~ \mathrm{d}{\mathbf{r}} \stackrel{\text{df}}{=} \int_{\gamma} \langle \mathbf{a},\mathbf{r} \rangle ~ \mathrm{d}{s} = \sum_{k = 1}^{n} \int_{\gamma} {a_{k}}(x) ~ \mathrm{d}{x_{k}}. $$ The relationship between line integrals and integrals of other types is established by the Green formulas and the Stokes formula.
Line integrals may be used to calculate the area of plane domains: If a finite plane domain
is bounded by a simple rectifiable curve
, then its area is
![]() |
where the contour
is oriented in the counter-clockwise sense.
If
is a mass distributed over
with linear density
, then
![]() |
If
is the intensity of a force field (i.e. the force acting on a unit mass), then
![]() |
is equal to the work performed by the field in moving a unit mass along
.
Line integrals are used in the theory of vector fields. If
is a continuous vector field defined on some
-dimensional domain
,
, then the following three properties are equivalent:
1) For any closed rectifiable curve
,
![]() |
(a vector field possessing this property is called a potential field).
2) For any pair of points
and any two rectifiable curves
with initial point
and end point
:
![]() |
3) There exists in
a function
(called a potential function of the field
), such that
, i.e.
,
, and moreover, for any
and any curve
,
![]() |
If
or
and
is a simply-connected domain (
) or a simply-connected surface (
), while the field
is continuously differentiable, then the properties 1)–3) are equivalent to the following property:
4) The rotation of the vector field vanishes in
:
![]() |
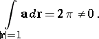
If
is not simply connected, then 4) need not be equivalent to 1)–3). For example, for the field
![]() |
defined on the plane punctured at the origin one has
,
, but
![]() |
References
| [1] | V.A. Il'in, E.G. Poznyak, "Fundamentals of mathematical analysis" , 2 , MIR (1982) (Translated from Russian) |
| [2] | L.D. Kudryavtsev, "A course in mathematical analysis" , 2 , Moscow (1981) (In Russian) |
| [3] | S.M. Nikol'skii, "A course of mathematical analysis" , 2 , MIR (1977) (Translated from Russian) |
Comments
Line integrals are a special instance of integrals of differential forms over chains, namely integrals of a
-form over a
-chain (cf. Differential form; Chain and especially Integration on manifolds).
References
| [a1] | W. Rudin, "Principles of mathematical analysis" , McGraw-Hill (1976) pp. 107–108 |
| [a2] | M. Spivak, "Calculus on manifolds" , Benjamin/Cummings (1965) |
Curvilinear integral. Encyclopedia of Mathematics. URL: http://encyclopediaofmath.org/index.php?title=Curvilinear_integral&oldid=39718








