Ribaucour curve
From Encyclopedia of Mathematics
A planar curve with curvature radius
at an arbitrary point
proportional to the length of the segment of the normal MP (see Fig.).
Figure: r081760a
The equation for the Ribaucour curve in Cartesian orthogonal coordinates is
![]() |
where
. If
(
is any integer), then a parametric equation for the Ribaucour curve is
![]() |
where
. When
, the Ribaucour curve is a circle; when
, it is a cycloid; when
, it is a catenary; and when
, it is a parabola.
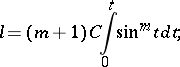
The length of an arc of the curve is
![]() |
and the curvature radius is
![]() |
This curve was studied by A. Ribaucour in 1880.
References
| [1] | A.A. Savelov, "Planar curves" , Moscow (1960) (In Russian) |
| [2] | P.K. Rashevskii, "A course of differential geometry" , Moscow (1956) (In Russian) |
Comments
References
| [a1] | F. Gomes Teixeira, "Traité des courbes" , 1–3 , Chelsea, reprint (1971) |
How to Cite This Entry:
Ribaucour curve. Encyclopedia of Mathematics. URL: http://encyclopediaofmath.org/index.php?title=Ribaucour_curve&oldid=36400
Ribaucour curve. Encyclopedia of Mathematics. URL: http://encyclopediaofmath.org/index.php?title=Ribaucour_curve&oldid=36400
This article was adapted from an original article by D.D. Sokolov (originator), which appeared in Encyclopedia of Mathematics - ISBN 1402006098. See original article



