Dirichlet discontinuous multiplier
From Encyclopedia of Mathematics
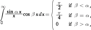
The integral
![]() |
which is a discontinuous function of the parameters
and
. Used by P.G.L. Dirichlet in his studies on the attraction of ellipsoids [1]. The integral was encountered earlier in the work of J. Fourier, S. Poisson and A. Legendre.
References
| [1] | P.G.L. Dirichlet, "Werke" , 1 , Chelsea, reprint (1969) |
| [2] | G.M. Fichtenholz, "Differential und Integralrechnung" , 2–3 , Deutsch. Verlag Wissenschaft. (1964) |
How to Cite This Entry:
Dirichlet discontinuous multiplier. Encyclopedia of Mathematics. URL: http://encyclopediaofmath.org/index.php?title=Dirichlet_discontinuous_multiplier&oldid=33248
Dirichlet discontinuous multiplier. Encyclopedia of Mathematics. URL: http://encyclopediaofmath.org/index.php?title=Dirichlet_discontinuous_multiplier&oldid=33248
This article was adapted from an original article by T.P. Lukashenko (originator), which appeared in Encyclopedia of Mathematics - ISBN 1402006098. See original article
