Runge rule
One of the methods for estimating errors in numerical integration formulas (cf. Integration, numerical). Let
be the residual term in a numerical integration formula, where
is the length of the integration interval or of some part of it,
is a fixed number and
is the product of a constant with the
-st derivative of the integrand at some point of the integration interval. If
is the exact value of an integral and
is its approximate value, then
.
According to Runge's rule, the same integral is calculated by the same numerical integration formula, but instead of
one takes the value
. Also, to obtain the value of the integral over the entire interval the integration formula is applied twice. If the derivative in
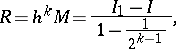
does not change too strongly on the considered interval, then
![]() |
where
is the value of the integral calculated with respect to
.
Runge's rule is also used when numerically solving differential equations. The rule was proposed by C. Runge (beginning of the 20th century).
References
| [1] | I.S. Berezin, N.P. Zhidkov, "Computing methods" , Pergamon (1973) (Translated from Russian) |
| [2] | G. Hall (ed.) J.M. Watt (ed.) , Modern numerical methods for ordinary differential equations , Clarendon Press (1976) |
Runge rule. Encyclopedia of Mathematics. URL: http://encyclopediaofmath.org/index.php?title=Runge_rule&oldid=33167
