Surface potential
From Encyclopedia of Mathematics
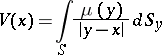
The potential of a measure that is concentrated on a certain surface. Two forms of a surface potential are used in handling major boundary value problems in potential theory: the simple-layer potential
![]() |
produced by a measure distributed on a surface
with density
,
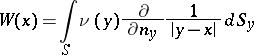
; and the double-layer potential
![]() |
produced by a measure distributed on
with density
. Physically, a simple-layer potential is interpreted as the potential of electrical charges with density
, and a double-layer potential is the potential of dipoles with density
(see also Multi-pole potential).
Comments
References
| [a1] | O.D. Kellogg, "Foundations of potential theory" , Dover, reprint (1953) (Re-issue: Springer, 1967) |
How to Cite This Entry:
Surface potential. Encyclopedia of Mathematics. URL: http://encyclopediaofmath.org/index.php?title=Surface_potential&oldid=33112
Surface potential. Encyclopedia of Mathematics. URL: http://encyclopediaofmath.org/index.php?title=Surface_potential&oldid=33112
This article was adapted from an original article by E.D. Solomentsev (originator), which appeared in Encyclopedia of Mathematics - ISBN 1402006098. See original article

