Namespaces
Variants
Actions

Differential parameter

From Encyclopedia of Mathematics
Revision as of 16:57, 7 February 2011 by 127.0.0.1 (talk) (Importing text file)
(diff) ← Older revision | Latest revision (diff) | Newer revision → (diff)
Jump to: navigation, search

differentiator

The joint differential invariant of one or more functions and the metric tensor of a Riemannian geometry.

The first-order differential parameter (or simply differential parameter) of a function is the square of its gradient:

The first-order mixed differential parameter of two functions and is the scalar product of their gradients

In three-dimensional Euclidean space and with respect to a Cartesian rectangular coordinate system these differential parameters are given by the formulas

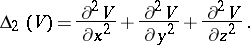
The second-order differential parameter (or second differential parameter) of a function is the divergence of its gradient:

where is the determinant of the matrix . In three-dimensional Euclidean space and with respect to a Cartesian rectangular coordinate system, the second differential parameter is given by the formula

Differential parameters were first introduced by G. Lamé [1] in Euclidean geometry. E. Beltrami [2] must be credited with generalizing this concept. The differential parameters are therefore sometimes called Lamé or Beltrami differential parameters.

References

[1] G. Lamé, "Leçons sur les coordonnées curvilignes et leurs diverses applications" , Paris (1958)
[2] E. Betrami, "Ricerche di analisi applicate alla geometria" G. Mat. Battaglini , 2–3 (1864–1865)
[3] V.F. Kagan, "Foundations of the theory of surfaces in a tensor setting" , 1–2 , Moscow-Leningrad (1947–1948) (In Russian)
[4] V.I. Shulikovskii, "Classical differential geometry in a tensor setting" , Moscow (1963) (In Russian)


Comments

References

[a1] J.J. Stoker, "Differential geometry" , Wiley (Interscience) (1969)
How to Cite This Entry:
Differential parameter. Encyclopedia of Mathematics. URL: http://encyclopediaofmath.org/index.php?title=Differential_parameter&oldid=33103
This article was adapted from an original article by V.I. Shulikovskii (originator), which appeared in Encyclopedia of Mathematics - ISBN 1402006098. See original article