Jacobi symbol
From Encyclopedia of Mathematics
![]() |
A function defined for all integers
coprime to a given odd integer
as follows: Let
be an expansion of
into prime factors (not necessarily different), then
![]() |
where
![]() |
is the Legendre symbol.
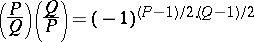
The Jacobi symbol is a generalization of the Legendre symbol and has similar properties. In particular, the reciprocity law:
![]() |
holds, where
and
are positive odd coprime numbers, and the supplementary formulas
![]() |
are true.
The Jacobi symbol was introduced by C.G.J. Jacobi (1837).
References
| [1] | C.G.J. Jacobi, "Gesammelte Werke" , 1–7 , Reimer (1881–1891) |
| [2] | P.G.L. Dirichlet, "Vorlesungen über Zahlentheorie" , Vieweg (1894) |
| [3] | P. Bachmann, "Niedere Zahlentheorie" , 1–2 , Teubner (1902–1910) |
Comments
Considered as a function on
, the Jacobi symbol is an example of a real character. This real character plays an important role in the decomposition of rational primes in a quadratic field (see [a1]).
References
| [a1] | D.B. Zagier, "Zetafunktionen und quadratische Körper" , Springer (1981) |
How to Cite This Entry:
Jacobi symbol. Encyclopedia of Mathematics. URL: http://encyclopediaofmath.org/index.php?title=Jacobi_symbol&oldid=32940
Jacobi symbol. Encyclopedia of Mathematics. URL: http://encyclopediaofmath.org/index.php?title=Jacobi_symbol&oldid=32940
This article was adapted from an original article by S.A. Stepanov (originator), which appeared in Encyclopedia of Mathematics - ISBN 1402006098. See original article




