Bendixson criterion
A theorem that permits one to establish the absence of closed trajectories of dynamical systems in the plane, defined by the equation
![]() | (*) |
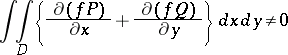
The criterion was first formulated by I. Bendixson [1] as follows: If in a simply-connected domain
the expression
has constant sign (i.e. the sign remains unchanged and the expression vanishes only at isolated points or on a curve), then the system (*) has no closed trajectories in the domain
. This criterion was generalized by H. Dulac [2] as follows: If
is a simply-connected domain in the
-plane, if the functions
and
, and if a function
can be found such that
![]() |
for any simply-connected subdomain
, then the domain
does not contain any simple rectifiable closed curve consisting of trajectories and singular points of the system (*). If the domain
is an annulus, a similar theorem states that a closed trajectory of (*), if it exists, is unique. A generalization applying to the case of system (*) with cylindrical phase space [3] is also possible.
References
| [1] | I. Bendixson, "Sur les courbes définies par des équations différentielles" Acta Math. , 24 (1901) pp. 1–88 |
| [2] | H. Dulac, "Récherches des cycles limites" C.R. Acad. Sci. Paris Sér. I Math. , 204 (1937) pp. 1703–1706 |
| [3] | A.A. Andronov, A.A. Vitt, A.E. Khaikin, "Theory of oscillators" , Pergamon (1966) (Translated from Russian) |
Comments
Bendixson's criterion is also called the Poincaré–Bendixson theorem.
References
| [a1] | A.A. Andronov, E.A. Leontovich, I.I. Gordon, A.G. Maier, "Qualitative theory of second-order dynamic systems" , Wiley (1973) (Translated from Russian) |
Bendixson criterion. Encyclopedia of Mathematics. URL: http://encyclopediaofmath.org/index.php?title=Bendixson_criterion&oldid=32809

