Namespaces
Variants
Actions

Hardy transform

From Encyclopedia of Mathematics
Revision as of 17:01, 7 February 2011 by 127.0.0.1 (talk) (Importing text file)
(diff) ← Older revision | Latest revision (diff) | Newer revision → (diff)
Jump to: navigation, search

The integral transform

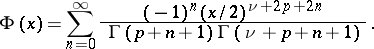
where

and and are the Bessel functions of the first and second kinds, respectively. For the Hardy transform coincides with one of the forms of the Hankel transform, and for with the -transform. The Hardy transform was proposed by G.H. Hardy in [1].

The inversion formula is

where

The Hardy transform is also defined for certain classes of generalized functions.

References

[1] G.H. Hardy, "Some formulae in the theory of Bessel functions" Proc. London. Math. Soc. (2) , 23 (1925) pp. 61–63
[2] Y.A. Brychkov, A.P. Prudnikov, "Integral transforms of generalized functions" , Gordon & Breach (1989) (Translated from Russian)
How to Cite This Entry:
Hardy transform. Encyclopedia of Mathematics. URL: http://encyclopediaofmath.org/index.php?title=Hardy_transform&oldid=32672
This article was adapted from an original article by Yu.A. BrychkovA.P. Prudnikov (originator), which appeared in Encyclopedia of Mathematics - ISBN 1402006098. See original article