Hyperbolic spiral
A plane transcendental curve whose equation in polar coordinates is
![]() |
It consists of two branches, which are symmetric with respect to a straight line
(see Fig.). The pole is an asymptotic point. The asymptote is the straight line parallel to the polar axis at a distance
from it. The arc length between two points
and
is
![]() |
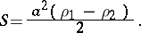
The area of the sector bounded by an arc of the hyperbolic spiral and the two radius vectors
and
corresponding to the angles
and
is
![]() |
A hyperbolic spiral and an Archimedean spiral may be obtained from each other by inversion with respect to the pole
of the hyperbolic spiral.
Figure: h048340a
A hyperbolic spiral is a special case of the so-called algebraic spirals.
References
| [1] | A.A. Savelov, "Planar curves" , Moscow (1960) (In Russian) |
Hyperbolic spiral. Encyclopedia of Mathematics. URL: http://encyclopediaofmath.org/index.php?title=Hyperbolic_spiral&oldid=32543


