Airy equation
The second-order linear ordinary differential equation
![]() |
It occurred first in G.B. Airy's research in optics [1]. Its general solution can be expressed in terms of Bessel functions of order
:
![]() |
Since the Airy equation plays an important role in various problems of physics, mechanics and asymptotic analysis, its solutions are regarded as forming a distinct class of special functions (see Airy functions).
The solutions of the Airy equation in the complex plane
,
![]() |
have the following fundamental properties:
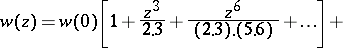
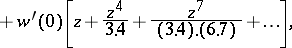
1) Every solution is an entire function of
and can be expanded in a power series
![]() |
![]() |
which converges for all
.
2) If
is a solution of the Airy equation, then so are
and
, where
, and any two of these solutions are linearly independent. The following identity holds:
![]() |
References
| [1] | G.B. Airy, "On the intensity of light in the neighbourhood of a caustic" Trans. Cambridge Philos. Soc. , 6 (1838) pp. 379–402 |
| [2] | V.M. Babich, V.S. Buldyrev, "Asymptotic methods in the diffraction of short waves" , Moscow (1972) (In Russian) (Translation forthcoming: Springer) |
| [3] | M. Abramowitz (ed.) I.A. Stegun (ed.) , Handbook of mathematical functions , Appl. Math. Series , 55 , Nat. Bureau of Standards,, U.S. Department Commerce (1964) |
Airy equation. Encyclopedia of Mathematics. URL: http://encyclopediaofmath.org/index.php?title=Airy_equation&oldid=27208





