Difference between revisions of "Kontorovich-Lebedev transform"
Ulf Rehmann (talk | contribs) m (moved Kontorovich–Lebedev transform to Kontorovich-Lebedev transform: ascii title) |
Thkmathency (talk | contribs) m |
||
| Line 55: | Line 55: | ||
If <img align="absmiddle" border="0" src="https://www.encyclopediaofmath.org/legacyimages/k/k120/k120090/k12009039.png" /> in the ring <img align="absmiddle" border="0" src="https://www.encyclopediaofmath.org/legacyimages/k/k120/k120090/k12009040.png" />, then at least one of the functions <img align="absmiddle" border="0" src="https://www.encyclopediaofmath.org/legacyimages/k/k120/k120090/k12009041.png" />, <img align="absmiddle" border="0" src="https://www.encyclopediaofmath.org/legacyimages/k/k120/k120090/k12009042.png" /> is equal to zero almost-everywhere on <img align="absmiddle" border="0" src="https://www.encyclopediaofmath.org/legacyimages/k/k120/k120090/k12009043.png" /> (an analogue of the Titchmarsh theorem). | If <img align="absmiddle" border="0" src="https://www.encyclopediaofmath.org/legacyimages/k/k120/k120090/k12009039.png" /> in the ring <img align="absmiddle" border="0" src="https://www.encyclopediaofmath.org/legacyimages/k/k120/k120090/k12009040.png" />, then at least one of the functions <img align="absmiddle" border="0" src="https://www.encyclopediaofmath.org/legacyimages/k/k120/k120090/k12009041.png" />, <img align="absmiddle" border="0" src="https://www.encyclopediaofmath.org/legacyimages/k/k120/k120090/k12009042.png" /> is equal to zero almost-everywhere on <img align="absmiddle" border="0" src="https://www.encyclopediaofmath.org/legacyimages/k/k120/k120090/k12009043.png" /> (an analogue of the Titchmarsh theorem). | ||
| − | The Kontorovich–Lebedev transform is the simplest and most basic in the class of integral transforms of non-convolution type, which forms a special class of so-called index transforms (cf. also [[ | + | The Kontorovich–Lebedev transform is the simplest and most basic in the class of integral transforms of non-convolution type, which forms a special class of so-called index transforms (cf. also [[Index transform|Index transform]]), depending upon parameters, subscripts (indices) of the hypergeometric functions (cf. [[Hypergeometric function|Hypergeometric function]]) as kernels. |
====References==== | ====References==== | ||
<table><TR><TD valign="top">[a1]</TD> <TD valign="top"> M.I. Kontorovich, N.N. Lebedev, "A method for the solution of problems in diffraction theory and related topics" ''Zh. Eksper. Teor. Fiz.'' , '''8''' : 10–11 (1938) pp. 1192–1206 (In Russian)</TD></TR><TR><TD valign="top">[a2]</TD> <TD valign="top"> N.N. Lebedev, "Sur une formule d'inversion" ''Dokl. Akad. Sci. USSR'' , '''52''' (1946) pp. 655–658</TD></TR><TR><TD valign="top">[a3]</TD> <TD valign="top"> N.N. Lebedev, "Analog of the Parseval theorem for the one integral transform" ''Dokl. Akad. Nauk SSSR'' , '''68''' : 4 (1949) pp. 653–656 (In Russian)</TD></TR><TR><TD valign="top">[a4]</TD> <TD valign="top"> A. Erdélyi, W. Magnus, F. Oberhettinger, "Tables of integral transforms 1-2" , McGraw-Hill (1954) pp. Chap. XII</TD></TR><TR><TD valign="top">[a5]</TD> <TD valign="top"> I.N. Sneddon, "The use of integral transforms" , McGraw-Hill (1972) pp. Chap. 6</TD></TR><TR><TD valign="top">[a6]</TD> <TD valign="top"> Vu Kim Tuan, S.B. Yakubovich, "The Kontorovich–Lebedev transform in a new class of functions" ''Amer. Math. Soc. Transl.'' , '''137''' (1987) pp. 61–65</TD></TR><TR><TD valign="top">[a7]</TD> <TD valign="top"> S.B. Yakubovich, B. Fisher, "On the Kontorovich–Lebedev transformation on distributions" ''Proc. Amer. Math. Soc.'' , '''122''' : 3 (1994) pp. 773–777</TD></TR><TR><TD valign="top">[a8]</TD> <TD valign="top"> A.H. Zemanian, "The Kontorovich–Lebedev transformation on distributions of compact support and its inversion" ''Math. Proc. Cambridge Philos. Soc.'' , '''77''' (1975) pp. 139–143</TD></TR><TR><TD valign="top">[a9]</TD> <TD valign="top"> S.B. Yakubovich, Yu.F. Luchko, "The hypergeometric approach to integral transforms and convolutions" , Kluwer Acad. Publ. (1994) pp. Chap. 6</TD></TR><TR><TD valign="top">[a10]</TD> <TD valign="top"> S.B. Yakubovich, "Index transforms" , World Sci. (1996) pp. Chaps. 2;4</TD></TR></table> | <table><TR><TD valign="top">[a1]</TD> <TD valign="top"> M.I. Kontorovich, N.N. Lebedev, "A method for the solution of problems in diffraction theory and related topics" ''Zh. Eksper. Teor. Fiz.'' , '''8''' : 10–11 (1938) pp. 1192–1206 (In Russian)</TD></TR><TR><TD valign="top">[a2]</TD> <TD valign="top"> N.N. Lebedev, "Sur une formule d'inversion" ''Dokl. Akad. Sci. USSR'' , '''52''' (1946) pp. 655–658</TD></TR><TR><TD valign="top">[a3]</TD> <TD valign="top"> N.N. Lebedev, "Analog of the Parseval theorem for the one integral transform" ''Dokl. Akad. Nauk SSSR'' , '''68''' : 4 (1949) pp. 653–656 (In Russian)</TD></TR><TR><TD valign="top">[a4]</TD> <TD valign="top"> A. Erdélyi, W. Magnus, F. Oberhettinger, "Tables of integral transforms 1-2" , McGraw-Hill (1954) pp. Chap. XII</TD></TR><TR><TD valign="top">[a5]</TD> <TD valign="top"> I.N. Sneddon, "The use of integral transforms" , McGraw-Hill (1972) pp. Chap. 6</TD></TR><TR><TD valign="top">[a6]</TD> <TD valign="top"> Vu Kim Tuan, S.B. Yakubovich, "The Kontorovich–Lebedev transform in a new class of functions" ''Amer. Math. Soc. Transl.'' , '''137''' (1987) pp. 61–65</TD></TR><TR><TD valign="top">[a7]</TD> <TD valign="top"> S.B. Yakubovich, B. Fisher, "On the Kontorovich–Lebedev transformation on distributions" ''Proc. Amer. Math. Soc.'' , '''122''' : 3 (1994) pp. 773–777</TD></TR><TR><TD valign="top">[a8]</TD> <TD valign="top"> A.H. Zemanian, "The Kontorovich–Lebedev transformation on distributions of compact support and its inversion" ''Math. Proc. Cambridge Philos. Soc.'' , '''77''' (1975) pp. 139–143</TD></TR><TR><TD valign="top">[a9]</TD> <TD valign="top"> S.B. Yakubovich, Yu.F. Luchko, "The hypergeometric approach to integral transforms and convolutions" , Kluwer Acad. Publ. (1994) pp. Chap. 6</TD></TR><TR><TD valign="top">[a10]</TD> <TD valign="top"> S.B. Yakubovich, "Index transforms" , World Sci. (1996) pp. Chaps. 2;4</TD></TR></table> | ||
Latest revision as of 13:44, 14 November 2012
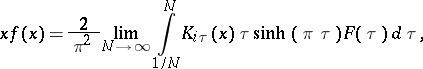
Lebedev–Kontorovich transform
![]() |
where
is the Macdonald function.
This transform was introduced in [a1] and later investigated in [a2]. If
is an integrable function with the weight
, i.e.
, then
is a bounded continuous function, which tends to zero at infinity (an analogue of the Riemann–Lebesgue lemma, cf. Fourier series, for the Fourier integral). If
is a function of bounded variation in a neighbourhood of a point
and if
![]() |
![]() |
then the following inversion formula holds:
![]() |
![]() |
If the Mellin transform of
, denoted by
, belongs to the space
, then
can be represented by an integral (see [a6]):
![]() |
![]() |
where
is the Euler gamma-function.
Let
. Then the integral
converges in mean square and isomorphically maps the space
onto the space
. The inverse operator has the form [a10]
![]() |
and the Parseval equality holds (see also [a3], [a5]):
![]() |
The Kontorovich–Lebedev transform of distributions was considered in [a7], [a8]. A transform table for the Kontorovich–Lebedev transform can be found in [a4]. Special properties in
-spaces are given in [a10].
For two functions
,
, define the operator of convolution for the Kontorovich–Lebedev transform as ([a9], [a10])
![]() |
![]() |
The following norm estimate is true:
![]() |
and the space
forms a normed ring with the convolution
as operation of multiplication.
If
,
are the Kontorovich–Lebedev transforms of two functions
,
, then the factorization property is true:
![]() |
If
in the ring
, then at least one of the functions
,
is equal to zero almost-everywhere on
(an analogue of the Titchmarsh theorem).
The Kontorovich–Lebedev transform is the simplest and most basic in the class of integral transforms of non-convolution type, which forms a special class of so-called index transforms (cf. also Index transform), depending upon parameters, subscripts (indices) of the hypergeometric functions (cf. Hypergeometric function) as kernels.
References
| [a1] | M.I. Kontorovich, N.N. Lebedev, "A method for the solution of problems in diffraction theory and related topics" Zh. Eksper. Teor. Fiz. , 8 : 10–11 (1938) pp. 1192–1206 (In Russian) |
| [a2] | N.N. Lebedev, "Sur une formule d'inversion" Dokl. Akad. Sci. USSR , 52 (1946) pp. 655–658 |
| [a3] | N.N. Lebedev, "Analog of the Parseval theorem for the one integral transform" Dokl. Akad. Nauk SSSR , 68 : 4 (1949) pp. 653–656 (In Russian) |
| [a4] | A. Erdélyi, W. Magnus, F. Oberhettinger, "Tables of integral transforms 1-2" , McGraw-Hill (1954) pp. Chap. XII |
| [a5] | I.N. Sneddon, "The use of integral transforms" , McGraw-Hill (1972) pp. Chap. 6 |
| [a6] | Vu Kim Tuan, S.B. Yakubovich, "The Kontorovich–Lebedev transform in a new class of functions" Amer. Math. Soc. Transl. , 137 (1987) pp. 61–65 |
| [a7] | S.B. Yakubovich, B. Fisher, "On the Kontorovich–Lebedev transformation on distributions" Proc. Amer. Math. Soc. , 122 : 3 (1994) pp. 773–777 |
| [a8] | A.H. Zemanian, "The Kontorovich–Lebedev transformation on distributions of compact support and its inversion" Math. Proc. Cambridge Philos. Soc. , 77 (1975) pp. 139–143 |
| [a9] | S.B. Yakubovich, Yu.F. Luchko, "The hypergeometric approach to integral transforms and convolutions" , Kluwer Acad. Publ. (1994) pp. Chap. 6 |
| [a10] | S.B. Yakubovich, "Index transforms" , World Sci. (1996) pp. Chaps. 2;4 |
Kontorovich-Lebedev transform. Encyclopedia of Mathematics. URL: http://encyclopediaofmath.org/index.php?title=Kontorovich-Lebedev_transform&oldid=28757












