Difference between revisions of "Wiener-Hopf equation"
(Importing text file) |
Ulf Rehmann (talk | contribs) m (moved Wiener–Hopf equation to Wiener-Hopf equation: ascii title) |
(No difference)
| |
Revision as of 18:54, 24 March 2012
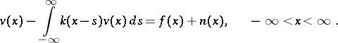
An integral equation on the half-line with a kernel which depends on the difference between the arguments:
![]() | (1) |
Equations of this type often appear in problems of mathematical physics, e.g. in the theory of radiative transfer (Milne's problem); in the theory of diffraction (diffraction on a half-plane, the problem of boundary refraction).
The first studies of equation (1) are due to N. Wiener and E. Hopf ([1] and [2]), and deal with a factorization method (see Wiener–Hopf method). It was the idea of factorization which proved to be the determining factor in the construction of the theory of integral equations such as (1). V.A. Fok (also written as V.A. Fock) [3] studied the Wiener–Hopf equation on the assumption that the kernel
is even and decreases exponentially.
The formal scheme for solving the Wiener–Hopf equation is the following. Let
![]() |
![]() |
Equation (1) can then be written on the whole line as:
![]() | (2) |
If the conditions for the existence of the Fourier transforms of all functions forming part of equation (2), i.e.
![]() |
![]() |
are met, then, using the Fourier transform, equation (2) is reduced to the functional equation
![]() | (3) |
where
and
are unknown functions. The Wiener–Hopf method makes it possible to solve equation (3) for a certain class of functions. The condition
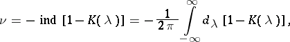
must be met in this context. The index of the equation,
![]() | (4) |
plays a special role in the theory of equation (1) for a non-symmetric kernel. If
and
, then: if
, the inhomogeneous equation (1) has a unique solution; if
, the homogeneous equation (1) has
linearly independent solutions; if
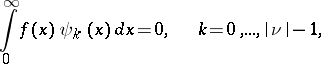
, the inhomogeneous equation (1) has either no solution, or else has a unique solution if the following condition is met:
![]() |
where
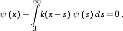
are the linearly independent solutions of the transposed homogeneous equation to (1):
![]() |
References
| [1] | N. Wiener, E. Hopf, "Ueber eine Klasse singulärer Integralgleichungen" Sitzungber. Akad. Wiss. Berlin (1931) pp. 696–706 |
| [2] | E. Hopf, "Mathematical problems of radiative equilibrium" , Cambridge Univ. Press (1934) |
| [3] | V.A. Fok, "On some integral equations of mathematical physics" Mat. Sb. , 14 (56) : 1–2 (1944) pp. 3–50 (In Russian) (French abstract) |
| [4] | B. Noble, "Methods based on the Wiener–Hopf technique for the solution of partial differential equations" , Pergamon (1958) |
Comments
The theorems about the solution of the Wiener–Hopf integral equation referred to above appeared in [a1], which treats equation (1) in a number of different function spaces of Banach or Hilbert type. The matrix-valued version of the theory is due to [a2]. Explicit solutions for the case when
is a rational matrix function may be found in [a3]. For a recent exposition of the theory of Wiener–Hopf integral equations, including the Fredholm theory and the state-space method for the case of rational
, see [a4].
References
| [a1] | M.G. Krein, "Integral equations on a half-line with kernel depending upon the difference of the arguments" Transl. Amer. Math. Soc. (2) , 22 (1962) pp. 163–288 Uspekhi Mat. Nauk , 13 : 5 (1958) pp. 3–120 |
| [a2] | I. [I.Ts. Gokhberg] Gohberg, M.G. Krein, "Systems of integral equations on a half line with kernels depending on the difference of arguments" Transl. Amer. Math. Soc. (2) , 14 (1960) pp. 217–287 Uspekhi Mat. Nauk , 13 : 2 (80) (1958) pp. 3–72 |
| [a3] | H. Bart, I. Gohberg, M.A. Kaashoek, "Minimal factorization of matrix and operation functions" , Birkhäuser (1979) |
| [a4] | I.C. Gohberg, S. Goldberg, M.A. Kaashoek, "Classes of linear operators" , 1 , Birkhäuser (1990) pp. Chapts. XI-XII |
| [a5] | H. Hochstadt, "Integral equations" , Wiley (1973) |
Wiener-Hopf equation. Encyclopedia of Mathematics. URL: http://encyclopediaofmath.org/index.php?title=Wiener-Hopf_equation&oldid=12258









