Namespaces
Variants
Actions

Difference between revisions of "Gauss-Bonnet theorem"

From Encyclopedia of Mathematics
Jump to: navigation, search
(Importing text file)
 
(No difference)

Revision as of 18:52, 24 March 2012

The total curvature of a two-dimensional compact Riemannian manifold , closed or with boundary, and the rotation of its smooth boundary are connected with the Euler characteristic of by the relation

Here

where is the Gaussian curvature and is the area element;

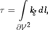
where is the geodesic curvature and is the line element of the boundary. The Gauss–Bonnet theorem is also valid for a manifold with a piecewise-smooth boundary; in that case

where is the rotation of the boundary at a vertex. The theorem is valid, in particular, on regular surfaces in . The Gauss–Bonnet theorem was known to C.F. Gauss [1]; it was published by O. Bonnet [2] in a special form (for surfaces homeomorphic to a disc).

For a non-compact complete manifold without boundary, an analogue of the Gauss–Bonnet theorem is the Cohn-Vossen inequality [3]:

The Gauss–Bonnet theorem and the given inequality are also valid for convex surfaces and two-dimensional manifolds of bounded curvature.

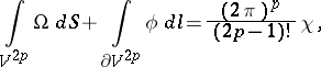
The Gauss–Bonnet theorem can be generalized to even-dimensional compact Riemannian manifolds , closed or with boundary:

where , denote the volume elements in and , while is some polynomial in the components of the curvature tensor of , and is some polynomial in the components of the curvature tensor and the coefficients of the second fundamental form of [4]. The Gauss–Bonnet theorem has also been generalized to Riemannian polyhedra [5]. Other generalizations of the theorem are connected with integral representations of characteristic classes by parameters of the Riemannian metric [4], [6], [7].

References

[1] C.F. Gauss, , Werke , 8 , K. Gesellschaft Wissenschaft. Göttingen (1900)
[2] O. Bonnet, J. École Polytechnique , 19 (1848) pp. 1–146
[3] S.E. Cohn-Vossen, "Some problems of differential geometry in the large" , Moscow (1959) (In Russian)
[4] V.A. Sharafutdinov, "Relative Euler class and the Gauss–Bonnet theorem" Siberian Math. J. , 14 : 6 (1973) pp. 930–940 Sibirsk Mat. Zh. , 14 : 6 pp. 1321–1635
[5] C.B. Allendörfer, A. Weil, "The Gauss–Bonnet theorem for Riemannian polyhedra" Trans. Amer. Math. Soc. , 53 (1943) pp. 101–129
[6] J. Eells, "A generalization of the Gauss–Bonnet theorem" Trans. Amer. Math. Soc. , 92 (1959) pp. 142–153
[7] L.S. Pontryagin, "On a connection between homologies and homotopies" Izv. Akad. Nauk SSSR Ser. Mat. , 13 (1949) pp. 193–200 (In Russian)


Comments

References

[a1] M. Spivak, "A comprehensive introduction to differential geometry" , 5 , Publish or Perish (1975) pp. 1–5
How to Cite This Entry:
Gauss-Bonnet theorem. Encyclopedia of Mathematics. URL: http://encyclopediaofmath.org/index.php?title=Gauss-Bonnet_theorem&oldid=13846
This article was adapted from an original article by Yu.D. Burago (originator), which appeared in Encyclopedia of Mathematics - ISBN 1402006098. See original article